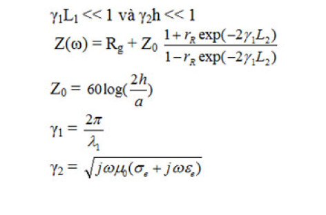
Kỹ thuật đo điện trở nối đất không dùng điện cực phụ

Nối đất là biện pháp kỹ thuật rất quan trọng nhằm bảo vệ an toàn cho con người, tạo mốc điện thế, bảo vệ chống quá áp và quá dòng,

Read More

Giải pháp truyền động của NORD cho ngành thực phẩm

Nord Drivesystems là gói giải pháp các cải tiến công nghệ truyền động cho những ứng dụng có yêu cầu vệ sinh cao. Thiết bị với hộp số bánh răng

Read More

Nhà máy cấp nước Acquedotto Pugliese ứng dụng hệ thống điều khiển từ xa của Siemens thành công

Acquedotto Pugliese (tại ý) là một trong những nhà máy lớn nhất châu Âu đã ứng dụng giải pháp tích hợp của Siemens. Nhà máy cấp nước này

Read More

Giải pháp giám sát và điều khiển các hoạt động phân phối vật chất (từ Siemens)

Để thực hiện một cách hiệu quả các hoạt động phân phối vật chất, Siemens đã đưa ra giải pháp giám sát thông qua màn hình điều khiển bằng đường dây

Read More

Áp dụng công nghệ không dây kiểu mắt lưới để thu thập dữ liệu công tơ điện từ xa

Công nghệ không dây theo kiểu mắt lưới (Wireless Mesh Network) mô tả một kiến trúc mạng được sử dụng trong hàng loạt các công nghệ, cung cấp thông tin

Read More

Vận hành hệ thống quản lý giao thông thông minh đầu tiên ở Việt Nam

Chiều 11-10, tại Trung tâm điều hành đường cao tốc Cầu Giẽ – Ninh Bình (huyện Duy Tiên, Hà Nam), Tổng công ty Đầu tư phát triển đường cao tốc

Read More

Lợi ích của thiết kế 3D đối với các kỹ sư

Bằng trực quan, phần mềm thiết kế 3D miễn phí, công ty RS Components đã làm cho nó trở nên dễ dàng đối với các kỹ sư để chuyển đổi

Read More

Ứng dụng giải pháp công nghệ cho công trình dầu khí

Một loạt ứng dụng giải pháp công nghệ phục vụ công tác tư vấn, thiết kế, quản lý thi công xây dựng và vận hành công trình dầu khí, năng

Read More